Tuesday, November 24, 2015

Tugas 3

Pengantarstatistika
Probabilistik Dan Non Probabilistik



A.    Probabilistik
   Dalamarti kata lain yaitu probabilitas merupakan suatu peluang kejadian, sedangkan sample merupakan bagian dari jumlah dan karakteristik yang dimiliki oleh populasi. Probabilistic yang muncul dalam ilmu statistic, merupakan ilmu yang mempelajari bagaimana mengumpulkan, merencanakan, menginterpretasi, menganalisis dan mempresentasikan data.

1.      Sampling Probabilistik
     Merupakan teknik pengambilan sample yang memberikan peluang yang sama untuk setiap anggota populasi untuk dipilih menjadi anggota sample. Tujuan sampling probabilistic adalah mendapatkan informasi data yang akurat agar proses pendata tersebut ideal. Bagian teknik probabilistic yaitu :
a)      Simple Random Sampling
     Digunakan apabila populasi merupakan populasi yang homogeny dan hanya mengandung satu ciri.
b)      Systematic Sampling
    Pengambilan sample secara systematic, strategi memilih peluang dan suatu system. System adalah strategy yang digunakan untuk memilih anggota setelah memulai pemilihan acak.
c)      Stratified Sampling
     Suatu teknik pengambilan sample dengan mempertimbangkan sub-kelompok (strata) memiliki jumlah yang terwakili.
d)     Cluster sampling
   Pengambilan sample secara random dimana populasi dibagi menjadi beberapa cluster dan masing-masing cluster merupakan kelompok individu yang homogen.
e)      Multi-stage Random Sampling
      Penarikan sample secara random melalui bebera patingkatan.



2.      Non Probabilistik
      Teknik pengambilan sample yang tidak memberi peluang sama bagi setiap anggota populasi untuk dipilih menjadi sample. Klasifikasi sampling non-probabilistik yaitu :
a)      Judgement/Purposive Sampling
     Cara memilih sample dari suatu populasi di dasarkan pada informasi yang tersedia serta sesuai dengan penelitian yang sedang berjalan, sehingga perwakilannya terhadap populasi dapat di pertanggung jawabkan.
b)      Convenience/Opportunity Sampling
    Memilih unit-unit analisis yang di anggap sesuai oleh peneliti. Dalam pemilihan poin-poin sample dari kerangka sampling dilakukan secara tidak terstruktur dan arbiter.
c)      Snowball Sampling
    Memilih unit-unit yang memiliki karakteristik langkadan unit-unit tambahan yang ditujukan oleh responden sebelumnya.
d)     Quota Sampling
  Populasi pertama-tama di segmentasikan kedalam kelompok secara mutually exclusive, kemudian penilaian digunakan untuk memilih subject atau unit dari masing-masing segmen yang di dasarkan pada proporsi yang spesifik.
e)      Accidental Sampling
      Menyeleksi sample dari orang-orang atau poin-poin yang sudah ada dan cocok.



Thursday, November 5, 2015

Mencari Mean, Median, Modus, Range, Simpangan Baku dan Cara menghitung Skewness dan Kurtosis dari Tabel Distribusi Frekuensi

TUGAS 2 Pengantar Statistika


Kali ini saya akan meneruskan tugas statistika dari Table Distribusi Frekuensi (TDF) yang pernah saya buat. Dalam tugas kali ini saya akan mencari“ Rata-Rata, Median, Modus, Range, Ragam (Varians), Simpangan baku” dan cara perhitungan “Kemencengan Kurva (Skewness) dan Kecuramankurva (Kurtosis)” berdasarkan Tabel Distribusi Frekuensi yang pernah saya buat di postingan sebelumnya. Oke langsung saja kita mulai dari yang pertama cekidot ;)

A.    Data Mentah
Data nilai hasil mengerjakan tugas matematika dari 40 siswa smp pgri 1 depok, sebagai berikut :
66
75
74
72
79
78
75
75
79
71
75
76
74
73
72
71
74
74
71
70
74
77
73
73
70
74
72
72
80
70
73
67
72
72
75
74
74
68
69
80

     1.      Mencari Rata-Rata (Mean)

Mean adalah teknik penjelasan kelompok yang didasarkan dari nilai rata-rata kelompok tersebut.

Maka untuk mencari rata-rata dari table nilai diatas yaitu :

Jadi, rata-ratanya adalah 73,32

      2.      Nilai Tengah (Median)
Median adalah satu teknik penjelasan kelompok yang berdasarkan atas nilai tengah dari kelompok data yang telah disusun urutannya dari yang terkecil sampai terbesar atau dari yang terbesar ke yang terkecil.
Maka untuk mencari nilai tengah dari table diatas, kita harus mengurutkan nilai dari yang terkecil sampai yang terbesar seperti dibawah ini :


 Maka nilai tengah (Median) dari data diatasa dalah 73. Karena, urutan ke 20 dari data tersebut adalah 73.






        3.      Nilai Yang paling BanyakMuncul (Modus)
             Modus adalah teknik penjelasan kelompok yang didasarkan atas nilai yang sedang popular (nilai         yang sering muncul).


66
75
74
72
79
78
75
75
79
71
75
76
74
73
72
71
74
74
71
70
74
77
73
73
70
74
72
72
80
70
73
67
72
72
75
74
74
68
69
80
Berdasarkan data diatas dapat diketahui nilai yang paling sering muncul adalah 74. Karena, total nilai 74 berjumlah 8 dan paling banyak dari pada nilai yang lainnya.

       4.      Range


       Range adalah selisih antara nilai terbesar dan nilai terkecil.

       Maka untuk mencari range dari data diatas adalah :

Jadi, range dari data diatas adalah 14.


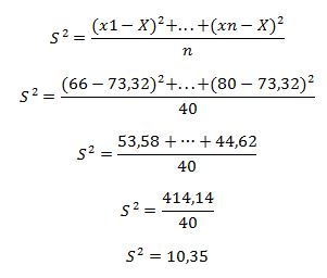
 5.      Ragam (variansi)
Ragam adalah rata-rata selisih kuadrat antara nilai-nilai individual dengan nilai tengahnya.
Maka untuk mencari ragam adalah :

Jadi, ragam dari table nilai diatas adalah 10,35.

     6.      Simpangan Baku
Simpangan baku adalah ukuran sebaran statistic yang paling lazim, atau didefinisikan juga sebagai akar kuadrat varians.
   Maka untuk mencari simpangan baku adalah 
Jadi simpangan bakunya adalah 3,21

       7.      Kemiringan Kurva (Skewnes)
Merupakan derajat ketidak simetrian (keasimetrian), atau dapat juga disefinisikan sebagai penyimpangan dari kesimetrian dari suatu distribusi.
Maka untuk mencari nilai Skewnes adalah :
Karena nilai SK nya 0,09 ( SK > 0 ) maka kurvanya menceng ke kanan atau menceng positif.

        8.      Keruncingan (kurtosis)
Keruncingan adalah derajat kepuncakan suatu distribusi, biasanya diambil relatif  terhadap distribusi normal.

Interval Nilai
Frekuensi (mutlak)
65 – 67
2
68 – 70
5
71 – 73
13
74 – 76
14
77 – 79
4
80 – 82
2
Jumlah
40
Maka untuk mencari nilai kurtosisnya adalah :
 Karena nilainya 15,98 ( lebih besar dari 3 ) maka distribusinya adalah leptokurtic.